ЕС. Обзор рынка зерна и масличных на 19.11.25 г.
ЕС. Обзор рынка зерна и масличных на 19.11.25 г.
25 ноября 2025 г.
в
8:45
•
OilWorld.RU
OilWorld.RU
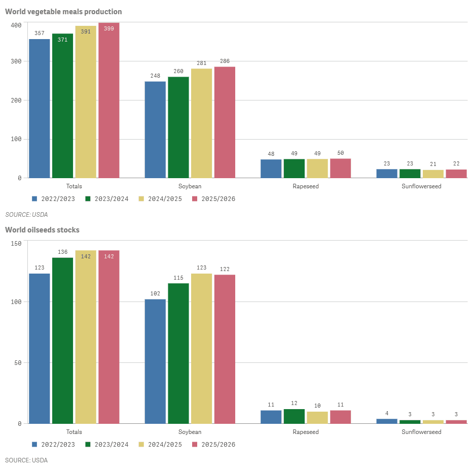
На рынке масличных культур в течение недели наблюдалась разнонаправленная динамика: в середине недели наблюдался рост, а к закрытию торгов в пятницу – падение. Снижение оптимизма в отношении торговли США с Китаем, а также возобновление активности на рынке российской нефти и работа над потенциальным мирным соглашением оказали давление на рынок масличных культур.
В это время года участники рынка традиционно уделяют особое внимание погодным рискам для озимых культур в Северном полушарии, сообщает oilworld.ru.
Волатильность евро по отношению к доллару США остаётся важным фактором, влияющим на парижские фьючерсы, ввиду острой конкуренции между крупными экспортёрами пшеницы и производителями из ЕС. На прошлой неделе ослабление евро ограничило падение цен на пшеницу на парижских фьючерсах.
По данным ЕК.
























На рынке масличных культур в течение недели наблюдалась разнонаправленная динамика: в середине недели наблюдался рост, а к закрытию торгов в пятницу – падение. Снижение оптимизма в отношении торговли США с Китаем, а также возобновление активности на рынке российской нефти и работа над потенциальным мирным соглашением оказали давление на рынок масличных культур.
В это время года участники рынка традиционно уделяют особое внимание погодным рискам для озимых культур в Северном полушарии, сообщает oilworld.ru.
Волатильность евро по отношению к доллару США остаётся важным фактором, влияющим на парижские фьючерсы, ввиду острой конкуренции между крупными экспортёрами пшеницы и производителями из ЕС. На прошлой неделе ослабление евро ограничило падение цен на пшеницу на парижских фьючерсах.
По данным ЕК.
























Последние новости
С начала года Россельхознадзор проконтролировал 200 тысяч тонн зерна и продуктов его переработки, экспортированных из Башкирии
С начала года Россельхознадзор проконтролировал 200 тысяч тонн зерна и продуктов его переработки, экспортированных из Башкирии
С начала года Россельхознадзор проконтролировал 200 тысяч тонн зерна и продуктов его переработки, экспортированных из Башкирии
Американцы увеличат перевалку масла через Ростов
Американцы увеличат перевалку масла через Ростов
Американцы увеличат перевалку масла через Ростов
Результаты состоявшихся торгов на НТБ 11.12.2025
Результаты состоявшихся торгов на НТБ 11.12.2025
Результаты состоявшихся торгов на НТБ 11.12.2025
На субсидии по кредитам для АПК добавят более 60 млрд рублей
На субсидии по кредитам для АПК добавят более 60 млрд рублей
На субсидии по кредитам для АПК добавят более 60 млрд рублей
Отгрузки российских зерновозов за 10 месяцев снизились почти на 80% — «Росспецмаш»
Отгрузки российских зерновозов за 10 месяцев снизились почти на 80% — «Росспецмаш»
Отгрузки российских зерновозов за 10 месяцев снизились почти на 80% — «Росспецмаш»
В Петербурге выставили на торги мукомольное оборудование из Швейцарии за 1,57 млрд руб.
В Петербурге выставили на торги мукомольное оборудование из Швейцарии за 1,57 млрд руб.
В Петербурге выставили на торги мукомольное оборудование из Швейцарии за 1,57 млрд руб.
В этом сезоне Россия станет крупнейшим в мире поставщиком подсолнечного масла
В этом сезоне Россия станет крупнейшим в мире поставщиком подсолнечного масла
В этом сезоне Россия станет крупнейшим в мире поставщиком подсолнечного масла
Казахстан: новые рынки сбыта намерены искать переработчики зерна, совместно с QazTrade
Казахстан: новые рынки сбыта намерены искать переработчики зерна, совместно с QazTrade
Казахстан: новые рынки сбыта намерены искать переработчики зерна, совместно с QazTrade
Алтайским зерновым лидером 2025 стал Каменский район
Алтайским зерновым лидером 2025 стал Каменский район
Алтайским зерновым лидером 2025 стал Каменский район
Устранить дефицит сырья, мощностей и логистики для масличных намерены в Казахстане в ближайшие 3 года
Устранить дефицит сырья, мощностей и логистики для масличных намерены в Казахстане в ближайшие 3 года
Устранить дефицит сырья, мощностей и логистики для масличных намерены в Казахстане в ближайшие 3 года
Получайте подборки самых главных новостей бесплатно
Раз в неделю, никакого спама
Получайте подборки самых главных новостей бесплатно
Раз в неделю, никакого спама
Получайте подборки самых главных новостей бесплатно
Раз в неделю, никакого спама